2410FA-30A
Fast Acting | 2410(6.5x1.6mm)
Brick Fuses
Features
- Compatible with reflow
- One time positive disconnect
- RoHS compliant
- Designed to UL 248-14

Electrical Characteristics
| Amp Rating | % of Amp Rating | Opening Time |
|---|---|---|
| 20A–30A | 100% | 4 hours min. |
| 20A–30A | 200% | 60 seconds max. |
Specification
| Part Number |
Ampere Rating (A) |
Voltage Rating |
Interrupting Rating |
Typical Cold Resistance (mΩ) |
Typical Melting I²t (A²Sec) |
Typical Voltage Drop(mV) |
|---|---|---|---|---|---|---|
| 2410FA-20A | 20 | 72Vdc @500A | 2.10 | 250 | 60 | |
| 2410FA-25A | 25 | 1.48 | 480 | 55 | ||
| 2410FA-30A | 30 | 1.10 | 1000 | 50 | ||
- DC Interrupting Rating (measured at designated voltage, time constant of less than 50 microseconds, battery source)
- DC Cold Resistance are measured at <10% of rated current in ambient temperature of 25℃
- Typical Pre-arcing I2 t are measured at 10In Current
Dimension
Unit: mm

Packaging
Quantity: 1, 000pcs
12mm tape-and-reel per EIA Standard 481.
Recommended land pattern (mm)

Note: Minimum copper layer thickness = 100um.
Recommend stencil thickness is 0.15mm
Soldering Parameters

Infrared Reflow: 260°C, 30 seconds max.
Reflow-Soldering Parameter
| Profile Feature | Lead(Pb) free solder | |
|---|---|---|
| Preheat & Soak | • Temperature Min. (Tsmin) | 150°C |
| • Temperature Max. (Tsmax) | 200°C | |
| • Time (Tsmin to Tsmax) (tS) | 60–120 seconds | |
| Average Ramp-Up Rate (Tsmax to Tp) Liquidous Temperature (TL) Time at Liquidous (tL) Peak Package Body Temperature (Tp) Time Within 5°C of Tc (tP) Average Ramp-Down Rate (Tp to Tsmax) Total Time (25°C to Peak Temperature) |
3°C/second max. | |
| 217°C | ||
| 60–150 seconds | ||
| 260°C | ||
| 30 seconds | ||
| 6°C/second max. | ||
| 8 minutes max. | ||
Temperature Derating Curve

Normal Operating Temperature: 25℃± 2℃
Operating Temperature: -55℃ to 125℃ with proper correction factor applied.
Chart of correction factor
Storage Temperature: -55℃ to 125℃
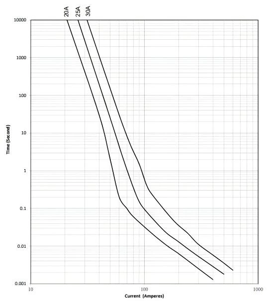
Time Current Curve
